Leave a Message

Thank you for your message. We will be in touch with you shortly.

Preview of Buyer Broker Agreements

August 15, 2024

Preview of Buyer Broker Agreements

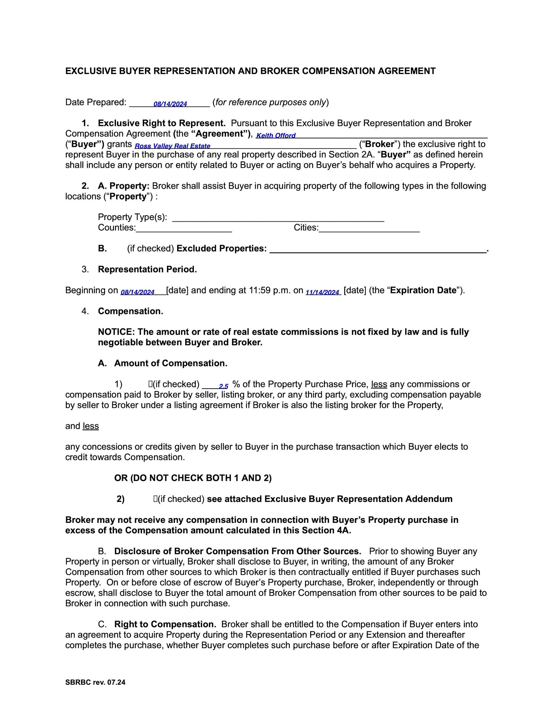
With mandatory buyer broker agreements being enforced by the MLS Nationwide, here's a look at the documents buyers are likely to be required to sign starting August 17th 2024.

Here you can preview

  • Side Exclusive Buyer Representation advisory - which provides background to the introduction of the new buyer broker agreements.
  • A sample copy of the Side Buyer Broker Agreement

If you have questions - and you most likely do, please feel free to reach out. You can also book a 15 minute consultation here: https://calendly.com/rvre/15min

AdvisoryBuyer Representation Agreement

 

Zillow Touring Agreement

 

Let's Talk

You've got questions and we can't wait to answer them.